CRONACA
Spiagge accessibili e sicure, dalla Regione in arrivo 850mila euro per i comuni costieri e le isole
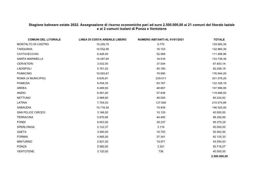
LATINA – I Comuni costieri della provincia di Latina riceveranno oltre 850mila euro (853,580, 64) resi disponibili dalla Regione Lazio per migliorare l’accessibilità e la sicurezza degli arenili. Fanno parte di una dotazione complessiva per tutto il Lazio di 2,5 milioni destinati a sostenere la nuova stagione balneare 2022. Lo ha annunciato il Presidente della Regione Lazio, Nicola Zingaretti: “Un provvedimento – sottolinea – che replichiamo e che ci assumiamo anche per la stagione in arrivo, perché vogliamo che il ritorno alla normalità avvenga nel modo più sicuro per tutti. E soprattutto intendiamo rilanciare un settore fortemente provato come quello turistico, che può trovare proprio nella bellezza e nel caldo dell’estate e nella forza del mare delle nostre coste il modo migliore per rilanciarsi”.
La somma verrà ripartita tra 21 Comuni costieri, di cui 11 pontini e tra questi le isole di Ponza e Ventotene che riceveranno da un minimo di 40mila euro (Sperlonga e Ventotene) a un massimo di 210mila (Latina), calcolati sulla base del numero di abitanti e della lunghezza di arenile disponibile (spiagge libere e libere con servizi). (vedi tabella)
“Spiagge più pulite, sicure e accessibili: per il terzo anno di seguito, anche per l’estate 2022 sosteniamo i Comuni del litorale con uno stanziamento di 2,5 milioni di euro per mettere in sicurezza le spiagge libere. La valorizzazione e la promozione del litorale laziale passano attraverso la fruibilità in sicurezza delle nostre coste. La Regione Lazio prosegue nell’impegno finalizzato a sostenere i nostri Comuni per il migliore avvio della stagione balneare 2022 e a investire sulla ripresa di un turismo responsabile e sostenibile, assicurando la fruizione delle spiagge, soprattutto quelle libere, nel pieno rispetto delle norme anti-Covid” hanno dichiarato Valentina Corrado, assessore al Turismo, Enti Locali, Sicurezza Urbana, Polizia Locale e Semplificazione Amministrativa e Paolo Orneli, assessore allo Sviluppo Economico, Commercio e Artigianato, Università, Ricerca, Start Up e Innovazione della Regione Lazio.
I fondi regionali – spiega in una nota la Regione Lazio – potranno essere usati dai Comuni per mettere in campo tutte le azioni che riterranno necessarie per garantire la valorizzazione e promozione economica del litorale laziale attraverso la fruibilità in sicurezza delle spiagge libere, dei pontili in ormeggio e delle banchine.
Potranno quindi essere finanziati gli interventi per la sicurezza dell’accesso alla spiaggia libera, le attività per la pulizia degli arenili, per l’igienizzazione e la sanificazione degli ambienti e delle attrezzature, i servizi di salvamento durante la balneazione e le attività di vigilanza lungo le spiagge libere.
L’erogazione dei contributi ai Comuni beneficiari verrà suddivisa in un anticipo pari all’80% e in un saldo pari al 20% del contributo riconosciuto. La realizzazione e la rendicontazione degli interventi ammessi si dovranno concludere entro il 30 settembre 2022.
CRONACA
Fiamme allo stabilimento Tortuga Beach al Lido di Latina
LATINA – Fiamme nella notte allo stabilimento balneare Tortuga sul lato destro del lungomare di Latina dove un rogo ha pesantemente danneggiato la passerella di accesso alla struttura. L’allarme al 112 è scattato intorno alle tre. I vigili del fuoco intervenuti hanno prima circoscritto poi domato il rogo evitando che si propagasse alle strutture circostanti, salva l’insegna che è rimasta integra. La polizia ha avviato le indagini per ricostruire le cause di quanto accaduto.
CRONACA
Incendio al Tortuga Beach, la sindaca Celentano: “Solidarietà ai titolari, seguiamo con attenzione”
LATINA – «In seguito all’incendio che, nella notte, ha interessato l’ingresso dello stabilimento balneare Tortuga sul litorale di Latina, causando ingenti danni alla passerella in legno e all’insegna della struttura, mi sono immediatamente messa in contatto con i titolari per esprimere la vicinanza dell’amministrazione comunale e la solidarietà dell’intera città». Così in una nota la sindaca Matilde Celentano interviene sull’episodio.
«Fortunatamente il tempestivo intervento dei Vigili del Fuoco ha consentito di contenere le conseguenze del rogo, evitando danni ben più gravi. Resta tuttavia la serietà dell’episodio, sul quale sono già in corso gli accertamenti da parte delle autorità competenti per chiarire le cause del rogo e fare piena luce sull’accaduto – aggiunge Celentano – . Insieme all’assessore alla Marina, Gianluca Di Cocco, stiamo seguendo con attenzione l’evolversi della situazione e restiamo in costante contatto con gli organi preposti, pronti a fornire ogni supporto necessario. Ai titolari e a tutti i collaboratori del Tortuga rinnovo la solidarietà e la vicinanza dell’amministrazione comunale, in questa stagione estiva appena iniziata”.
CRONACA
Formia, torna a casa il Bambinello ligneo di Maranola rubato nel 2015
FORMIA – A undici anni dalla sua sparizione a seguito di un furto, è tornato nel pomeriggio di ieri alla comunità di Maranola il Bambinello di Sant’Antonio, uno dei simboli religiosi e culturali più amati. La scultura lignea policroma risalente alla fine del XVIII secolo era stata rubata a maggio del 2015.
Sono stati i carabinieri a svolgere le indagini, e in particolare i militari della Stazione di Genzano di Lucania che monitorando le piattaforme virtuali di interscambio commerciale, hanno intercettato una transazione sospetta, “che lasciava presagire – si legge in una nota dell’Arma – l’imminente e definitivo occultamento del bene, ha imposto una fulminea accelerazione operativa”.
In un’abitazione privata del comune lucano, la perquisizione eseguita dai militari ha permesso di recuperare l’opera d’arte il manufatto che è stata trovata integra, ma già confezionata e imballata, pronta per essere consegnata a un un corriere destinata all’estero a un ignoto acquirente che aveva già pagato il prezzo. “Se l’opera avesse varcato i confini nazionali, incanalandosi nei circuiti sommersi del collezionismo internazionale privato, sarebbe andata perduta per sempre”, sottolinea l’Arma.
La conferma definitiva dell’origine del bene è stata ottenuta attraverso l’interrogazione della Banca Dati del Comando Carabinieri Tutela Patrimonio Culturale, il più grande database al mondo dedicato ai beni culturali illecitamente sottratti. L’incrocio dei dati ha permesso di accertare l’esatta corrispondenza tra la statua rinvenuta in provincia di Potenza e quella inserita nei sistemi undici anni prima, a seguito del furto perpetrato nella notte tra il 7 e l’8 maggio 2015 all’interno della Chiesa della Santissima Annunziata di Maranola.
Ottenuto il necessario nulla osta al dissequestro da parte delle competenti Autorità Giudiziarie, il rientro dell’opera è stato pianificato d’intesa con le Autorità Ecclesiastiche.
L’evento ha vissuto i suoi momenti più toccanti nel tardo pomeriggio di ieri con l’accoglienza del simulacro in zona Montagnano e la successiva consegna nelle mani del Parroco Don Gerardo Petruccelli in Piazza A. Ricca da parte del Comandante della Compagnia Carabinieri di Venosa, Capitano Marco Capasso e del personale della Stazione Carabinieri di Genzano di Lucania, davanti a una folla visibilmente emozionata ed alla presenza del Comandante del Nucleo Operativo e Radiomobile della Compagnia Carabinieri di Formia, Capitano Antonio Sarno e del personale della locale Stazione. Quindi la Messa presieduta dall’Arcivescovo di Gaeta, S.E. Mons. Luigi Vari e la successiva inaugurazione della mostra storica “I Bambinelli Maranolesi” presso la Chiesa di Sant’Antonio.
-
TITOLI8 ore faI quotidiani di Latina in un click – 31 maggio 2026
-
TITOLI1 giorno faI quotidiani di Latina in un click – 30 maggio 2026
-
TITOLI2 giorni faI quotidiani di Latina in un click – 29 maggio 2026
-
TITOLI3 giorni faI quotidiani di Latina in un click – 28 maggio 2026
-
TITOLI4 giorni faI quotidiani di Latina in un click – 27 maggio 2026
-
TITOLI5 giorni faI quotidiani di Latina in un click – 26 maggio 2026
-
TITOLI6 giorni faI quotidiani di Latina in un click – 25 maggio 2026
-
TITOLI1 settimana faI quotidiani di Latina in un click – 24 maggio 2026







